Name Of Product CAS Number DMF Structure
Acefylline [652-37-9]
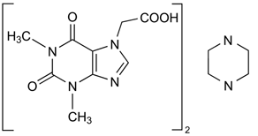
Acefylline Piperazine or Acepifylline (Piperazine theophylline ethanoate) [18428-63-2]

DMF available

Acebrophylline [179118-73-1]
Ambroxol HCl [23828-92-4]
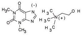
Aminophylline [317-34-0] DMF available
Acyclovir [59877-89-3]
Allopurinol [315-30-0]
Ambuphylline [5634-34-4]
Bamifylline Hydrochloride [20684-06-4] DMF available
Brinzolamide
(Under Development)
[138890-62-7]
Caffeine (India's first manufacturer) [58-08-2] DMF available
Caffeine citrate [69-22-7]
Caffeine sodium benzoate [8000-95-1] DMF available
Dicaffeine Malate
Cholline theophyllinate
(Oxtriphylline)
[4499-40-5]
Diprophylline [479-18-5]
Doxofylline [69975-86-6] DMF available
Dorzolamide HCl [130693-82-2]
Etofylline [519-37-9]
Etamiphylline Camsylate [19326-29-5]
Ganciclovir [82410-32-0]
Istradefylline * [155270-99-8]

Linagliptin *

Largest manufacturing capacity in the world all the way from the basic stage

[668270-12-0]

DMF available 

Anthiolimine  Anthiomaline

Lithium Antimony Thiomalate 

[305-97-5]

 

anthiolimine | 305-97-5
Minoxidil [38304-91-5]
Pamabrom (US FDA approved) [606-04-2] DMF available
Pentoxifylline [6493-05-6] DMF available
Proxyphylline or 7-(2-Hydroxypropyl) Theophylline) [603-00-9] DMF available
8-p-(Sulpho Phenyl)
Theophylline hydrate
[80206-91-3]
Theofibrate [54504-70-0]
Theobromine (World's largest manufacturer) [83-67-0] DMF available
Theobromine Sodium Salicylate [8048-31-5]
Theophylline (India's first manufacturer) [58-55-9] DMF available
Theophylline Sodium Glycinate [8000-10-0] DMF available
Valganciclovir [175865-59-5]
Xanthinol Nicotinate [437-74-1]
Zolpidem L-(+)-Hemitartrate [99294-93-6]

* Products that are patented in India will only be offered for R&D purposes. It will be the responsibility of the buyer to abide by the patent status in their respective country.

Email us at sales@bakulpharma.com to order any of the above products.



 
Site Designed by Web Element, Inc